News:

Tekforums.net - The improved home of Tekforums! :D

Main Menu

Maths Help - again

Started by chrisdicko, March 09, 2011, 01:35:49 AM

Previous topic - Next topic

0 Members and 1 Guest are viewing this topic.

knighty

that's not a finger, that's a one eye's monster !

Mongoose

#16
Quote from: chrisdicko on March 09, 2011, 15:44:27 PM

Can anyone show the working out as well possibly?

Thanks

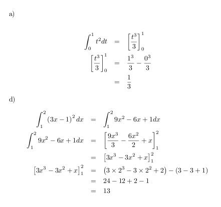
I've done two of them out long hand, the first one and the forth one, to show you how to do the easiest case and one of the trickier ones



the first one is as simple as integration ever gets. The trick is to do the indefinite integral first, then evaluate the limits.

So to integrate t^2 with respect to t, raise the power of t by one and divide by the new power

now to do the limits you just evaluate the integral you just derived at t=1 and t=0, and subtract one from the other.


d) is essentially the same, you just have a more complex expression to integrate in the first place. Multiply out the bracket first, then integrate, then evaluate at the limits and subtract.

I hope that's clear, but if I haven't explained it well enough post back or PM me and I'll try harder. This kind of integration is just a case of learning the rules and applying them, and not thinking its hard so therefore you can't do it. Actually once you get your head around it it's not that hard at all.

edit: apparently I can do calculus but can't count to 4

Clock'd 0Ne

You need to count to five, then you can catch fish (alive)

DeltaZero

My related question is why is the integral of e raised to the power of x only equal to the function of u raised to the power of n at the beginning? I wish it always evaluated true without changing the variables.

Smugs

Quote from: DeltaZero on March 14, 2011, 01:25:05 AM
My related question is why is the integral of e raised to the power of x only equal to the function of u raised to the power of n at the beginning? I wish it always evaluated true without changing the variables.

TekForums member since 14th August 2002